The Airtech Dry Piston Compressor is an ideal products for the medical, instrumentation, calibration and portable equipment OEM markets.
The lightweight compact design and quiet operation makes them the first choice for equipment that operates in close proximity to populated environments.
Model Features
- High efficiency cooling fan
- Hard coated compression cylinder
- Anodized aluminum precision valve plates
- Low noise level
- Maintenance free operation
- Optional vacuum restart
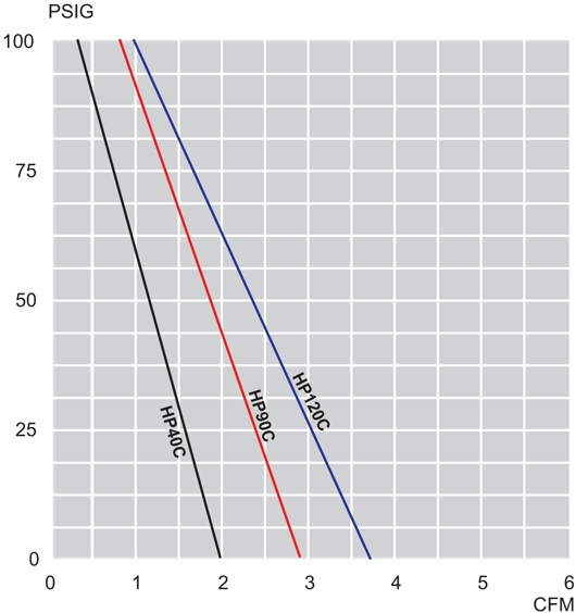
HP90C Specifications
Model |
Maximum
|
Maximum
|
Voltage
|
Maximum
|
Motor
|
Motor
|
Noise Level
|
| HP90C | 2.85 | 100 | 115 | 6.0 | 650 | 1750 | 62 |
HP90C Dimensions (Inches)
A |
B |
C |
D |
E |
F |
G |
H |
I |
| 5.9 | 7.1 | Ø 5.0 | 4.3 | 9.6 | 7.8 | Ø 0.4 | 1.6 | 0.25″ NPT |
Series Notes:
Standard voltage for single phase pumps is 115V/1ph 60 Hz,
or
230V/1ph 50/60 Hz
All pumps available in other voltages.

