Model Features
- Cooler running, outboard bearing provides maintenance-free operation
- Environmentally friendly oil-free technology
- Extremely quiet operation
- All motors are standard TEFC with Class F insulation, UL recognized, CE Compliant
- Explosion-Proof motors available
- Custom construction blowers are available
- Rugged die cast aluminum construction
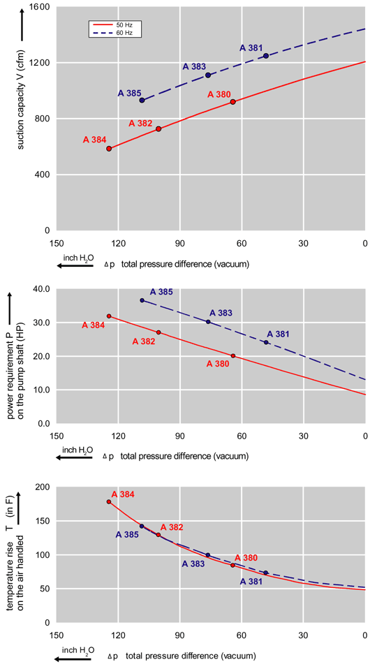
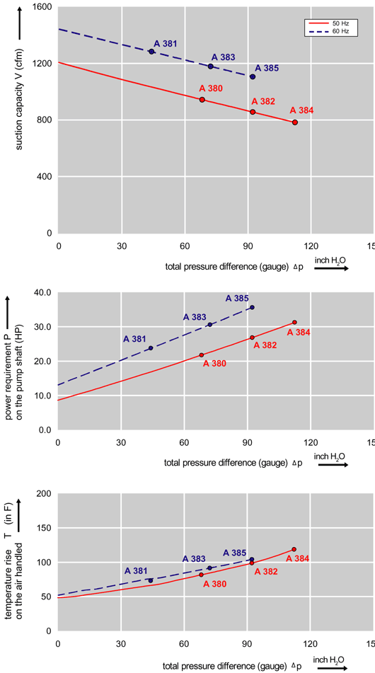
Selection & Ordering Data - Type 3BA1943
| Curve No. |
Order No. |
Hz | HP |
Input
|
Input
|
Permissible total differential pressure2 |
Sound pressure level3 |
Weight (lbs.) |
|||
Vacuum inch H2O |
Compressor
|
dB(A) |
|||||||||
| 3~ 50/60 Hz IP55 insulation material class F | |||||||||||
| A 380 | 3BA1943-7AT26 | 50 | 20.1 | 200D… 240D | 345Y…415Y | 59D | 34Y | -64 | 68 | 75 | 417 |
| A 381 | 3BA1943-7AT26 | 60 | 23.4 | 220D… 250D | 415Y…460Y | 63D | 36.5Y | -48 | 44 | 84 | 417 |
| A 382 | 3BA1943-7AT36 | 50 | 26.8 | 200D… 240D | 345Y…415Y | 69D | 40Y | -100 | 92 | 75 | 463 |
| A 383 | 3BA1943-7AT36 | 60 | 30.8 | 220D… 250D | 415Y…460Y | 72D | 42Y | -76 | 72 | 84 | 463 |
| A 384 | 3BA1943-7AT46 | 50 | 33.5 | 200D… 240D | 345Y…415Y | 90D | 52Y | -124 | 112 | 75 | 509 |
| A 385 | 3BA1943-7AT46 | 60 | 38.8 | 220D… 250D | 415Y…460Y | 90D | 52Y | -108 | 92 | 84 | 509 |
Dimensions
Relief valve:
VC110Z (Vacuum)
PC110Z (Pressure)
Filter:
ATF-500-344P
(Vacuum)
AFS-244-500-10
(Pressure)



